contoh minit mesyuarat panitia 2020

SK CONVENT KOTA TAIPING PERAK. MinitMesyuaratPanitia TMK SK Jijan Bilangan 1 2020 2 22 KSSR SEMAKAN TMK TAHUN 4 221 Semua ahli mesyuarat mengambil maklum bahawa mata pelajaran TMK Tahun 4 telah dimansuhkan dalam KSSR Semakan 2019.


Minit Mesyuarat Psv Bil 1 2020 Membalik Buku Halaman 1 10 Anyflip

Memo panggilan mesyuarat hem bil 1 sesi 2020.

. Berikut disertakan cara buat dan contoh minit mesyuarat yang berkualiti lengkap dan mudah beserta maklumat format dan contoh. Contoh minit mesyuarat kewangan sekolah kali pertama 2019. By Coa_529Bernard 10 Jun 2022 Post a Comment.

222 Mata pelajaran TMK hanya diajar untuk Tahun 5 dan 6 sahaja mengikut 2 waktu 2 kali sebulan. Mesyuarat Panitia Kali Pertama Mesyuarat Panitia ke-2 Mesyuarat Panitia ke-3 Mesyuarat Panitia ke-4 3 Jan 2018 Selepas ujian Selepas ujian Selepas ujian Ketua Panitia Bilik mesyuarat 2. Contoh memo dan surat panggilan mesyuarat staf kali pertama 2020.

18 mac 2014 hari. Pn Syarifah Baizura Bt Mohammad. 1 Pengesahan Minit mesyuarat lepas.

SEKOLAH KEBANGSAAN DESA JAYA. Cik Sriminangwati Bt Zainulis Pengerusi 3. Pn clinie jonathan ujang ketua panitia bahasa inggeris bil nama jawatan tandatangan catatan ulasan 1 pn tan kwee choo guru besar 2 cik.

Notis pemberitahuan mesyuarat adalah empat belas 14 hari dari tarikh. MINIT MESYUARAT PANITIA MATEMATIK KALI PERTAMA BIL 12020. Membentang dan mengesahkan minit mesyuarat agung.

0900 pagi Tempat. Pn Fauzan Bt Ghazali 4. Encik Mohd Haszam bin Mohd Husin KehadiranBilangan.

Bilik RBT Kehadiran. Memo dan surat panggilan mesyuarat staf kali pertama 2020 sumber pendidikan. Minit Mesyuarat Panitia Sejarah Kali Pertama 2015 Sekolah Kebangsaan Kuala Bok Baram Tarikh 03 Febuari 2015 Selasa M Download Resume Resume Bambam.

Puan Haniza bt Abdul Hamid Guru Besar 2. Bilik Muzik SKKM2 Pengerusi. Spsk pk 073 2.

Nurul Hafiza binti Hasan 7. Berikut merupakan koleksi minit mesyuarat Panitia Pendidikan Moral bagi kali yang pertama kedua ketiga dan keempat. Contoh surat panggilan mesyuarat syarikat contoh surat terbaru.

31 Disember 2019 Masa. 26400 BANDAR TUN ABDUL RAZAK JENGKA. GURU BESAR SKTB menerbitkan.

MINIT MESYUARAT AHLI JAWATANKUASA PANITIA SEJARAH SEKOLAH MENENGAH KEBANGSAAN DUNGUN KALI 12020 TARIKH. Pengurusan kali pertama 2020. Mohd Fairus bin Mohd Suhaimin 4.

12 Pengerusi mengucapkan selamat datang kepada guru baru Pn Suryani bt Mohamed Said. View Contoh Minit Mesyuaratpdf from BBM 110 at Universiti Teknologi Mara. Guru besar skpk guru kssr tahun 12 dan 3 d.

1200 tengahari Kehadiran. Minit mesyuarat panitia bm convent kali ke 1 2020 1. Nor Faizah binti Yusof 3.

NOTIS MESYUARAT PANITIA PENDIDIKAN JASMANI PENDIDIKAN KESIHATAN BIL2 TAHUN 2020 Dimaklumkan bahawa Panitia Pendidikan Jasmani Pendidikan Kesihatan akan mengadakan mesyuarat seperti berikut. Ucapan Pengerusi Ketua Panitia 11 Pn Noor Anizah Bt Zulkurnaini selaku Ketua Panitia mengalu-alukan kehadiran semua. Pn Manju ap KR Rajah 5.

30 Disember 2019 Isnin Masa. Minit mesyuarat panitia pendidikan muzik kali pertama. Menghadirkan diri ke mesyuarat panitia kali pertama untuk tahun 2020.

30 Disember 2019 Masa. Spsk pk 073 rekod kehadiran perkara. Pekerja sering lambat datang 34.

Mesyuarat panitia pertama skdj 2020. Mesyuarat jawatankuasa panitia bahasa inggeris bil22020 tarikh dan masa. Sekolah Berprestasi Tinggi MINIT MESYUARAT JAWATANKUASA PANITIA BAHASA KALI PERTAMA TAHUN 2020 Tarikh.

Memo dan surat panggilan mesyuarat staf kali pertama 2020. View flipping ebook version of 2020 minit mesyuarat panitia sejarah kali pertama 2020-converted published by Sri Minangwati on 2020-02-26. 1000 tengah hari Tempat.

Mesyuarat Panitia Bahasa Melayu 2020 Minit Mesyuarat Panitia Bahasa Melayu Kali Pertama 2020 SK Labung Tarikh. 1 Januari 2020 Masa. AJK Panitia Sains dan berterima kasih di atas kehadiran serta komitmen yang ditunjukkan.

Makluman 20 Mengesahkan Minit Mesyuarat 21 Setiausaha Panitia En. Contoh surat panggilan mesyuarat syarikat have an image associated. 31 Januari 2020 Hari.

30 Disember 2019 Masa. Abd Malek bin Atan 2. ١٩ ربيع الآخر ١٤٤١ هـ.

Mohd Sukri bin Abd Rahim 5. MINIT MESYUARAT PANITIA SEJARAH BIL 12020 Tarikh. Sahafarizal membacakan minit mesyuarat yang lepas secara sepintas lalu untuk makluman semua ahli panitia.

Panitia perlu membincangkan barangan yang ingin. 1230 tengahari Tempat. 200 petang 400 petang Tempat.

Menggunakan plantar google meet pengerusi. Eyrina minit mesyuarat pjk. Download surat panggilan mesyuarat minit mesyuarat.

31 ucapan pengerusi 32 membentang dan mengesahkan minit mesyuarat lalu 33 perkara berbangkit 34 pengurusan. 2052020 210 pm tempat. Pn Analiza Bt Yakkub GK Kemanusiaan 2.

20 PENGESAHAN MINIT MESYUARAT BIL32020 21 Minit Mesyuarat Panitia Pendidikan Islam dan Bahasa Arab Bil32020 dibentangkan dan disahkan sebulat suara tanpa pindaan. Minit Mesyuarat Muzik Bil 2 2020 Converted Flip Ebook Pages 1 4 Anyflip. MINIT MESYUARAT PANITIA REKABENTUK DAN TEKNOLOGI KALI PERTAMA 2020.

MINIT MESYUARAT SEKOLAH KEBANGSAAN KOTA MASAI 2 MINIT MESYUARAT PANITIA MUZIK BIL 12020 Tarikh. Tindakanmakluman kepada semua guru. Doc minit mesyuarat kali ke 3 panitia matematik sk lktp.

Pn Rubavathi ap Marwandasamy 6. Makluman 30 PERKARA BERBANGKIT Tiada 40 PERBINCANGAN 41 LAPORAN e-PELAPORAN j-QAF DAN PBD AKHIR TAHUN Mesyuarat menerima maklumat yang berikut. Puan Mawar bt Shariff Guru Muzik.

Surat panggilan mesyuarat panitia kali 1 2020. Minit mesyuarat agung pertama persatuan penduduk impian makmur tarikh. 10 Ucapan Pengerusi 20 Pengesahan minit mesyuarat 30.

Berikut merupakan koleksi minit mesyuarat Panitia Mata Pelajaran bagi kali yang pertama kedua ketiga dan keempat. Bilik Guru Agenda. Sanisah binti Sulaiman 6.

130 -245ptg 10 Ucapan Pengerusi 11Pengerusi mengucapkan salam dan ucapan terima kasih kerana sudi hadir ke mesyuarat Panitia Sejarah untuk kali kedua 2016. 29 Jun 2020 Hari. Minit mesyuarat contoh 1.

130 -245ptg 10 Ucapan Pengerusi 11Pengerusi mengucapkan salam dan ucapan terima kasih kerana sudi hadir ke mesyuarat Panitia Sejarah untuk kali kedua 2016. Contoh surat panggilan mesyuarat ajk contoh surat. Surat memo sebenarnya merupakan singkatan dari surat.

Puan Azawiyah bt Ahmad Ketua Panitia Bahasa Melayu 3. Noorlinda mencadangkan minit mesyuarat ini untuk. 9 orang 1 KATA-KATA ALUANUCAPAN PENGERUSI 11 Pengerusi mengucapkan selamat datang dan.

Sekolah Berprestasi Tinggi MINIT MESYUARAT JAWATANKUASA PANITIA BAHASA KALI PERTAMA TAHUN 2020 Tarikh. Mesyuaratpanitiamuzikkali pertama tarikh12 januari 2018 masa. Bilik Guru Masa.

Surat panggilan mesyuarat 2019 kali pertama converted flip ebook pages 1 7 anyflip anyflip. Memo panggilan mesyuarat agenda mesyuarat adalah seperti berikut.


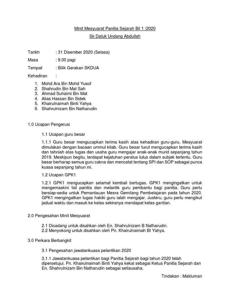
Minit Mesyuarat Panitia Sejarah Bil 1 2020 Pdf


Minit Mesyuarat Bahasa Inggeris Kali 1 2020 Pdf


Minit Mesyuarat Panitia Sains Kali Ke 3 Membalik Buku Halaman 1 3 Anyflip


Minit Mesyuarat Mt 1 2020 Pdf


Minit Mesyuarat Muzik Bil 2 2020 Converted Membalik Buku Halaman 1 4 Anyflip


Minit Mesyuarat Panitia Matematik Kali Pertama Membalik Buku Halaman 1 6 Anyflip


Minit Pertama Panitia Sains 2020


Minit Mesyuarat Panitia Sejarah Bilangan 2


Minit Mesyuarat Panitia Bi Kali Kedua 2020 Pdf


Doc Minit Mesyuarat Panitia Sejarah Master21bull Bull Academia Edu


Minit Mesyuarat Panitia 1 2020


Minit Mesyuarat Panitia Bahasa Melayu Kali Pertama 2020 Pdf


Pk07 3 Borang Maklum Balas Minit Mesyuarat Bil1 2020 Edited Membalik Buku Halaman 1 5 Anyflip


Minit Pertama Panitia Sains 2020


Minit Rbt 1 2020 Pdf


Minit Mesyuarat Panitia Matematik Bil 1 2020


Minit Mesyuarat Matematik Bil 1 2020 Pdf


Minit Mesyuarat Induk Kur Kali Pertama 2020 Edit Membalik Buku Halaman 1 6 Anyflip


2020 Minit Mesyuarat Panitia Sejarah Kali Pertama 2020 Converted Membalik Buku Halaman 1 6 Anyflip

No comments for "contoh minit mesyuarat panitia 2020"